If you're seeing this message, it means we're having trouble loading external resources on our website.

If you're behind a web filter, please make sure that the domains *.kastatic.org and *.kasandbox.org are unblocked.

Main content
Current time:0:00Total duration:2:10

Video transcript

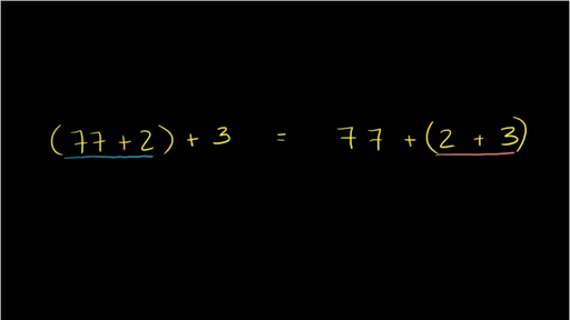
use the associative law of addition to write the expression and we have let's see a 77 plus 2 in parentheses plus 3 in a different way simplify both expressions to show they have identical results so this associative law of addition which sounds very fancy and complicated literally means then you can associate these three numbers in different ways or you can add them in different orders now let me just make that clear so the way they wrote it right here they wrote 77 77 plus 2 in parenthesis and then they wrote plus 3 these parenthesis mean do the 77 plus 2 before you add the 3 so if you were to evaluate this you would evaluate what's in the parenthesis first so you'd say well 77 plus 2 that's 79 so everything in the parenthesis just evaluates to 79 and then you still have that plus 3 and 79 plus 3 is 82 so this is equal to 82 that's if you just evaluate it the way that they gave it to us now the associative law of addition tells us it doesn't matter whether we add 77 and 2 first or whether we add 2 and 3 first we can associate them differently so this is going to be the exact same thing this is the exact same thing as we could write it this way so let me write them all 77 plus 2 plus 3 and we have no parentheses here this is actually the same thing as this over here because we'd go 77 plus 2 is 79 plus 3 is 82 but the associative law tells us well you know what I can do 77 plus 2 Plus 3 I could add this first and then add it to 77 it's going to be the exact same thing as if I add these two guys first and then add the 3 and let's let's verify that for ourselves so 2 plus 3 is 5 so this evaluates to 77 plus 5 77 + 5 + 77 + 5 once again is 82 is 82 so it doesn't matter how you associate the numbers either way you get 82 and that's the associative law of addition